Fig. 2
From: Heparin-binding protein is significantly increased in acute pancreatitis

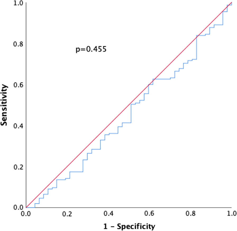
Receiver operating characteristic (ROC) curve illustrating the ability of HBP to discriminate between mild and moderately severe/severe acute pancreatitis
From: Heparin-binding protein is significantly increased in acute pancreatitis

Receiver operating characteristic (ROC) curve illustrating the ability of HBP to discriminate between mild and moderately severe/severe acute pancreatitis